Лабораторна робота №2

Рекурентні співвідношення для тригонометричних, експоненціальних функцій та ланцюгові дроби

Мета

Опанувати теоретичні основи застосування рекурентних співвідношень для обчислення тригонометричних, експоненціальних, степеневих функцій та розробити програми функціональними мовам програмування для обчислення їх значень.

Виконав: студент групи ІПЗ-42
Лавріненко В.В.


Умова завдання

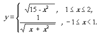
Варіант №14

14.1. Обчислити значення функції у, розвинувши функцію у ряд Тейлора. Аргумент х змінюється від -2 до 2 з кроком 0.5. Визначити похибку.

14.2. У трьох видах спорту стартує n осіб. Визначити, скільки існує можливих результатів, якими можуть закінчитися змагання, якщо кожна людина стартує в одному, довільно обраному виді спорту? Під результатом змагання розуміється розподіл місць для всіх спортсменів, що стартують в кожному виді.


Обгрунтування вибору середовища та мови функціонального програмування

Для розв'язку завдання було обрано мову Scheme та середовище DrRacket. Основними критеріями, за якими було зроблено вибір, є:

  • Наявність доволі великої кількості довідникових джерел інформації з синтаксису та поведінки даної мови. Це, в свою чергу, забезпечено й тим, що дана мова є діалектом розповсюдженої мови - LISP.

  • Відносна простота даної мови у засвоєнні, а середовища - використані, завдяки зрозумілому мінімалістичному користувацьому інтерфейсу, що надає найпоширеніший функціонал для написання та відлагоджування коду.


Структура програми (НІРО - діаграма)


Код програми

Завдання 14.1
; Лавріненко В.В.
; ІПЗ-42
; Л.р. 2, завдання 14.1
; точність, за якою визначається закінчення процедури 
(define error 1e-9)
; кількість ітерацій, за якими припиняється процедура, у разі не досягнення бажаної точності
(define max-iterations 1000)

; процедура для обчислення заданої функції, спираючись на вбудовану поцедуру "sqrt"
(define (result-built-in value)
  (cond
    ; перша умова для обчислення значення
    [(and(>= value 1)(<= value 2))
       (sqrt(- 15 (* value value )))]
    ; друга умова для обчислення значення
    [(and(>= value -1)(< value  1))
       (/ 1 (sqrt (+ value (* value value))))]
  ))

; процедура для обчислення заданої функції, спираючись на власну реалізацію
(define (result value)
  (cond
    ; перша умова для обчислення значення
    [(and(>= value 1)(<= value 2))
       (custom-sqrt(- 15 (* value value )) 0 0)]
    ; друга умова для обчислення значення
    [(and(>= value -1)(< value  1))
       (/ 1 (custom-sqrt (+ value (* value value)) 0 0))]
  ))

; процедура для обчислення похибки при обчисленні заданої функції, спираючись на вбудовану та власну реалізації
(define (method-difference value)
  ; значення має повертатись лише для точок, що входять в межі, задані умовою, та для дійсних значень
  (cond[(and(not(void? (result-built-in value)))(real? (result-built-in value)))
  (abs(- (result value) (result-built-in value)))]
 )
)

; процедура для обчислення квадратного кореня, згідно з заданою формулою
(define (custom-sqrt x n previous-member )
  ; на кожному кроці обчислюється значення поточного члена послідовності
  (define current-member (custom-sqrt-internal x n previous-member))
  ; рекурсія завершується у разі, якщо досягнуто бажану точність, або ж виконано достатню кількість ітерацій
  (if (or (< (abs (- previous-member current-member)) error) (> n max-iterations))
      ; в разі закінчення рекурсії повертається значення поточного члена ряду
      current-member
      ; інакше рекурсивно викликається поточна процедура для наступного члена ряду
      (custom-sqrt x (+ n 1) current-member))
  )

; внутрішня процедура для обчислення значення поточного члена ряду
(define (custom-sqrt-internal x n previous-member)
    ; виняткове значення повертається для нульового члена ряду
    (if (= n 0)
       1
       ; інакше значення обчислюється згідно з формулою 
        (* 0.5 (+ previous-member (/ x previous-member)))
  )
)

(display "Результат з використанням вбудованої функції:\n")
(map  result-built-in (inclusive-range -2 2 0.5))
(display "Результат з використанням власної реалізації:\n")
(map  result (inclusive-range -2 2 0.5))
(display "Похибки:\n")
(map  method-difference (inclusive-range -2 2 0.5))
					
Завдання 14.2
; Лавріненко В.В.
; ІПЗ-42
; Л.р. 2, завдання 14.2

; процедура для обчислення факторіалу
(define (factorial value)
  ; кінцева умова рекурсії - коли задане число є нулем, у випадку чого повертаємо 1
  (if (= value 0)
      1
      ; інакше процедура  викликається рекурсивно, повертаючи добуток поточного числа та факторіала на 1 меншого
      (* value (factorial (- value 1)))
  )
)

; процедура обчислення комбінації з повтореннями, спираючись на реалізацію процедури обчислення факторіалу
; в межах завдання за n сприймаємо кількість елементів, що можуть повторюватись, а саме - види спорту (кількість яких - 3)
(define (c n k)
  (/(factorial (+ n k -1)) (*(factorial k) (factorial (- n 1))))
)

; процедура обчислення кінцевого результату завдання
; згідно з умовою, обчислюється добуток кількості комбінацій з 3 по n (як кількість варіантів розподілу)
; та факторіал n (як кількість варіантів розподілу спортсменів аза місцями)
(define (result n)
  (*(c 3 n) (factorial n))
)

(display "Введіть кількість атлетів:\n")
(define input (read))
;(display  (input "спортсменів можна розподілити між 3 видами спорту "(result input) " кількість атлетів:\n"))
(fprintf (current-output-port)
           "~a спортсменів можна розподілити між 3 видами спорту ~s способами.\n"
           input
           (result input))

					


Скріншоти результатів


Оцінка достовірності результатів

  • Завдання 14.1 Правильність виконання процедури було перевірено для точки 2. Так, згідно з онлайн-калькулятором "Wolfram", значення виразу в даній точці становить 3.31662479035539984911493273667068. Водночас, вбудована функція sqrt повертає результат 3.3166247903554, а створена реалізація алгоритму - 3.3166247903554. Як бачимо, отримане значення відповідає дійсності з точністю 13 знаків після коми, що перевищує навіть задану програматично точність в 9 знаків.

  • Завдання 14.2 Правильність виконання процедури було перевірено для вхідних даних: n = 10. Так, скориставшись онлайн-калькулятором для задач з комбінаторики keisan.casio.com, було визначено, що значення кількості комбінацій з повтореннями з 3 по 10 становить 66, а кількість перестановок з 10 - 3628800. Кінцевий результат, що дорівнює добутку цих чисел, було обчислено як 239500800, що відповідає отриманому програмою результату.


Висновки

В лабораторній роботі було реалізовано обидва завдання, що передбачають використання власних процедур для обчислення значень функції через її вираз у ряді, а також - формул, що застосовуються в комбінаторних задачах.

Труднощі постали при програмній реалізації завдання 14.1, зокрема - у розумінні наданоїв теоретичному матеріалі формули обчислення квадратного кореня. Так, оскільки решта формул виражають функцію через суму членів ряду, аналогічний підхід було застосовано й до даної функції. Втім, кінцева реалізація все ж вірно обчислює значення функції як n-ний член ряду.

Додаткові труднощі виникли при програмній реалізації завдання 14.1 у випадку точок -1, -0.5 та 0, оскільки кінцева функція в цих точках повертає, відповідно, нескінченність або нераціональне число. В даних випадках не було можливим застосування різниці між сусідніми членами ряду для зупиники процесу, оскільки необхідної точності не вдавалось досягнути. Натомість, довелось застососувати максимальну кільість ітерацій. Втім, цілком можливим було б і застосування окремого оброблення вхідних даних, що не входять в область визначення функції квадратного кореня.